استهلاک
- هزینه دفتری
- هزینه اسقاط
- هزینه استهلاک
- هزینه دفتری سالیانه = هزینه خرید _ جمع هزینه استهلاک تا ان سال
\(B V_m =P- ( \sum_{i=1}^m D_i ) ; p=BV_0\)
- هزینه دفتری سالیانه = هزینه اسقاط
\(B V_m =B V_{m-1} - D_m\)
روش های استهلاک
- خط مستقیم
- جمع ارقام سنوات
- موجودی نزولی
- موجودی نزولی دوبل
روش خط مستقیم
\(R_m=\frac{1}{n}\)
\(D_m=R_m(P_SV)\)
\(B V_m=P- m.D\)

مثال

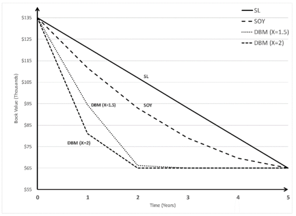
یک پیمانکار یک بولدوزر را به قیمت 135K$ میخرد و قصد دارد از آن به مدت 5yr استفاده نموده و سپس به قیمت 65K$اسقاط نماید با استفاده از روش استهلاک خطی ارزش دفتری در انتهای سال 5را محاسبه نمایید

| i | \(R_i\) | \(D_i\) | \(BV_i\) |
|---|---|---|---|
| 0 | ⅕ | $14K | 135 |
| 1 | ⅕ | $14K | 135-14=121 |
| 2 | ⅕ | $14K | 121-14=107 |
| 3 | ⅕ | $14K | 107-14=93 |
| 4 | ⅕ | $14K | 93-14=79 |
| 5 | ⅕ | $14K | 79-14=65 |
روش جمع ارقام سنوات
\(R_m= \frac{n-m+1}{SOY}\)
\(SOY=\sum_{m=1}^n m=\frac{n(n+1)}{2}\)
\(D_m=R_m(P_SV)\)
مثال

مثال قبل از روش جمع ارقام سنوات

| i | \(R_i\) | \(D_i\) | \(BV_i\) |
|---|---|---|---|
| 0 | 0 | 0 | 135 |
| 1 | \(\frac{5}{15}\) | \(\frac{70*5}{15}=23.3\) | 135-23.3 = 111.67 |
| 2 | \(\frac{4}{15}\) | \(\frac{70*4}{15}=18.67\) | 111.67 -18.67 = 93 |
| 3 | \(\frac{3}{15}\) | \(\frac{70*3}{15}=14\) | 93-14 = 79 |
| 4 | \(\frac{2}{15}\) | \(\frac{70*2}{15}=9.33\) | 79 -9.33 = 69.67 |
| 5 | \(\frac{1}{15}\) | \(\frac{70*1}{15}=4.07\) | 69.67-4.67 = 65 |
روش موجودی نزولی
\(R_m=\frac{x}{n};1.25\leq X\geq 2\)
\(D_m=R_m.B V_{m-1}\)
موجودی نزولی دوبل
\(X=2\)
مثال

مثال قبل از روش موجودی نزولی
| i | \(R_i\) | \(D_i\) | \(BV_i\) |
|---|---|---|---|
| 0 | \(\frac{1.5}{5}\) | _ | 135 |
| 1 | \(\frac{1.5}{5}\) | \(\frac{135*1.5}{5}\) | 135- 40.5 = 94.5 |
| 2 | \(\frac{1.5}{5}\) | \(\frac{94.5*1.5}{5}\) | 66.15 |
| 3 | \(\frac{1.5}{5}\) | \(\frac{70*3}{15}=14\) | 46.305 |
| 4 | 0 | - | 0 |
| 5 | 0 | - | 0 |
سال سوم برابر با 65
برای دوبل بجای 1.5 ، 2 قرار میدهیم
مقایسه روش های استهلاک
